灌流式类器官培养及代谢分析仪—IMOLA
灌流式类器官培养及代谢分析仪—IMOLA
北京佰司特科技有限责任公司正式签约德国cellasys公司的灌流式类器官培养及代谢分析仪—IMOLA,与德国cellasys一起在中国成立cellasys China办公室,负责德国cellasys公司在中国大陆地区,香港,澳门,台湾以及新加坡的业务,主要业务为灌流式类器官培养及代谢分析仪—IMOLA的市场推广,客户拜访,宣传讲座,路演DEMO,销售定价,投标签约,进出口以及安装售后等所有事宜。

德国cellasys公司生产的灌流式类器官培养及代谢分析仪—IMOLA,是一种微流控微生理系统平台,可以实现长时间,自动化,灌流式连续培养细胞、组织、类器官。同时,通过监测细胞耗氧率、细胞产酸率、培养基的温度、跨膜电阻值,能够实时获得类器官的代谢学和形态学的数据。
IMOLA搭配自动化微流泵系统,可以实现长时间,自动化,灌流式连续培养细胞、组织、类器官。通过生物芯片技术,可以培养大尺寸的组织器官(1cm大小)或者transwell小室培养的组织,以及多器官串联共培养。自动完成换液或者加药,可以实现类器官的长时间培养,同时还可以进行代谢学和形态学参数的实时监测,对活细胞/组织/类器官的生长状态进行实施评估和检测,通过加药可以研究药物对活细胞/组织/类器官的影响以及移除药物后的恢复和再生效应。
- 可以实现长时间,自动化,灌流式连续培养细胞、组织、类器官。独特的微流泵系统可实现细胞培养溶液的自动更新,自动加药或诱导因子,确保细胞分化为类器官。
- 6个独立的模块可以单独控制每一个样品的溶液,保证每个通道的独立性,可以连续长时间培养和监测6种不同的细胞、组织、类器官。
- 微流控系统保证换液次数及频率(1-4分钟换液一次),始终保持培养环境新鲜,O2充足,不会累积代谢废物,不会影响细胞/组织/器官的生长,可以长时间培养检测细胞、组织、类器官。
- 无需标记物、非入侵式、不用额外的试剂、不接触细胞、不破坏细胞结构、不需人员监控、全自动培养。
- 可以研究多次加药后细胞耐受,不同药物的叠加效应,加药后的细胞和类器官的再生恢复效应,以及多个类器官的串联共培养。
- 封闭的体系设计保证了整个微流控灌流过程和培养过程的自动化和无菌环境。
- 兼容贴附细胞,悬浮细胞,transwell小室,组织,类器官,大尺寸的组织器官(1cm大小)。
悬浮细胞,比如酵母、细菌、藻类、微藻等等。
单层的贴壁细胞,比如成纤维细胞、卵巢、神经元。
组织、类器官,比如:小肠、皮肤、肝脏、心脏、血脑屏障、脑等类器官。

类器官培养及代谢分析仪—IMOLA,长时间类器官培养的同时,还可以实时监测活细胞/组织/类器官的多个代谢学和形态学参数,包括耗氧率(pO2)、产酸率(EAR,pH)、跨膜电阻值(impedance,TEER,[Z])和培养基温度(Temperature),确保培养过程的准确性和类器官的活性,以及加药之后类器官的代谢状态变化。
- 芯片电极监测,而不是通用的光学检测技术,其检测灵敏度更高,检测时间更长,避免培养基颜色变化带来的干扰。
- 非入侵式测量,不用额外的试剂,不破坏细胞结构。
- 细胞耗氧率、细胞产酸率、 跨膜电阻值和培养基温度。
- 芯片底部透明材料——整个培养过程可兼容成像设备。
- 芯片耐70% 酒精——支持芯片反复重复使用。
细胞代谢主要是指细胞从环境中摄取营养物质,消化吸收后排放出降解物或杂质。大多数碳水化合物,例如葡萄糖,都是细胞的营养物质。在有氧条件下,葡萄糖被细胞摄取后在胞浆内转变成丙酮酸,然后进入三羧酸循环代谢,最终变成二氧化碳并产生能量;在缺氧条件下,葡萄糖在细胞内代谢为乳酸以提供能量。总体而言,细胞代谢增强时,葡萄糖的消耗增加,酸性的代谢产物也相应增加,反之亦然。此外,外界环境因素对贴壁细胞的作用经常影响到细胞的粘附和融合度,而细胞的粘附状态是与细胞骨架的组织性和膜的完整性相关的,如果受到环境因素干扰,细胞则会改变其粘附方式,可能变圆或完全脱离基底。因此,监测这些参数就能很好的了解细胞、组织、类器官生长过程中的细胞生理状态和代谢行为。


工作原理
灌流式类器官培养及代谢分析仪—IMOLA可以实现长时间,自动化,灌流式连续培养细胞、组织、类器官。微生理测量法监测活细胞、组织、类器官的代谢活动。除了监测细胞呼吸和细胞外酸化,细胞粘附和形态参数同样提供了很多关于生命活动的有价值的信息。我们的生物芯片集成了微型传感器来评估这些参数,确保了高灵敏度和稳定性,并且该方法是无需标记,并实时连续提供多个参数的数据。使用DALiA客户端3.1应用程序,可以对测量过程进行编程并记录数据。


IMOLA技术可以分析由自动化灌流系统之中的生物芯片所获取的代谢数据,数据来源于用新鲜的细胞培养基或培养基的成分。

细胞类型:
针对所有类型的培养物提供不同的合适的配件;
对于特殊实验还可以通过对生物芯片的涂层来优化培养效果;
悬浮细胞、贴壁细胞、球体、Transwell细胞培养小室;
大尺寸的组织器官(1cm大小)或者transwell小室培养的组织、以及商业化的组织和器官培养物;
应用案例
1. 长时间培养贴壁细胞,研究贴壁细胞的毒理动力学。
监测培养的活细胞的活力是阐明化学物质的毒理动力学效应的关键。
- 氯化汞是分析化学的重要试剂,可作为消毒剂和防腐剂。
- 通过3T3细胞的细胞产酸率(EAR,pH)来检测氯化汞的毒性作用。
- 氯化汞被去除后,细胞恢复了正常的代谢指标,说明该过程是可逆的。
- 细胞类型: 3T3小鼠胚胎成纤维细胞,贴壁细胞

10%十二烷基硫酸钠溶液(7次稀释)对成纤维细胞的毒性作用可以通过细胞阻抗(Z)来解释。细胞类型:L929成纤维细胞,贴壁细胞。

有了自动灌流系统,在活体类似的情况下,可以映射到体外实验。细胞外酸化率用于评估不同浓度十二烷基硫酸钠溶液对HepG2肝球蛋白的毒性。细胞类型:Hep-G2肝癌球体细胞。

表皮(RhE)是在保持临界气液界面的形成的,实时测量跨表皮细胞层电阻(TEER)。细胞类型:人类表皮细胞(RhE), transwell细胞小室。
2. 长时间培养贴壁细胞,研究新药对贴壁细胞的影响。
可以研究新药对细胞/组织/类器官代谢和生理形态的影响。测定了抗肿瘤药物牛蒡根素对PANC-1细胞系的影响,记录了实时生物电阻的变化。细胞类型:PANC-1人胰腺癌,贴壁细胞。

3. 培养藻类的同时,监测代谢活性进行水质监测。
以藻类的代谢活性为指标来进行水质监测。本例显示了克氏小球藻在被苯嗪草酮污染后光合活性的降低,去除毒素后光合活性的恢复。细胞类型:chlorella kesslerialgae小球藻,悬浮细胞。


4. 细胞在不同的营养供应培养条件下表现出不同的活性。
为了在治疗前评估药物的有效性,可以测试药物对病人的细胞/组织/类器官的代谢学影响。
- 胰岛,特别是产生胰岛素的beta细胞,可以在不同的营养供应条件下表现出不同的代谢活性。在该实验中,当暴露于相当于生理上低血糖和高血糖水平的葡萄糖浓度时,可检测到beta细胞系的代谢活动呈现出明显区别,反应了不同条件下的胰岛素分泌的不同。(Gln 谷氨酰胺;Glc葡萄糖)
- 细胞类型:INS-1E,beta细胞系,贴壁细胞

Cisplatin(顺铂)是一种有效的抗癌药物,用于治疗多种实体瘤,如卵巢癌和肺癌等,并用于辅助治疗神经胶质瘤。
- Cisplatin与DNA的嘌呤碱基交联,干扰DNA的修复机制,引起DNA损伤,激活多条信号转导通路,包括ERK、p53、p73和MAPK,其中对激活凋亡影响最大,诱导细胞凋亡。
- 细胞类型:MCF-7人乳腺癌细胞

5. 气液界面培养皮肤类器官,并监测类器官的产酸率和跨膜电阻值
Skin-on-a-Chip,Genes, 2018, 9, 114
-
作为人体最大的器官,皮肤代表着人体内部和外部环境之间的结构学屏障,将体内器官与毒素、病原体隔离开来,并保护内部器官免受紫外线辐射。除了屏障功能,人体皮肤还执行人体的几个基本功能,如热调节、感觉和排泄。皮肤是人体抵御外部环境的影响的第一防护罩,新的化学物质的研究,如药物和毒素,分析和评估其对皮肤完整性的影响就是必不可少的。因此,人们开发了3D皮肤类器官模型来再现体内结构,培养出三维重建人表皮模型(reconstructed human epidermis,RhE),用于在制药、化妆品和环境研究中评估皮肤暴露于外源性物质后的毒性反应。
-
通过IMOLA分析仪监测皮肤类器官模型的细胞产酸率(EAR,pH)和 细胞层的跨膜电阻值(impedance,TEER,[Z])。通过连续监测RhE细胞模型超过48小时的TEER和EAR数据表明, IMOLA分析仪可以长时间稳定培养芯片上的皮肤类器官,并监测整个代谢过程。


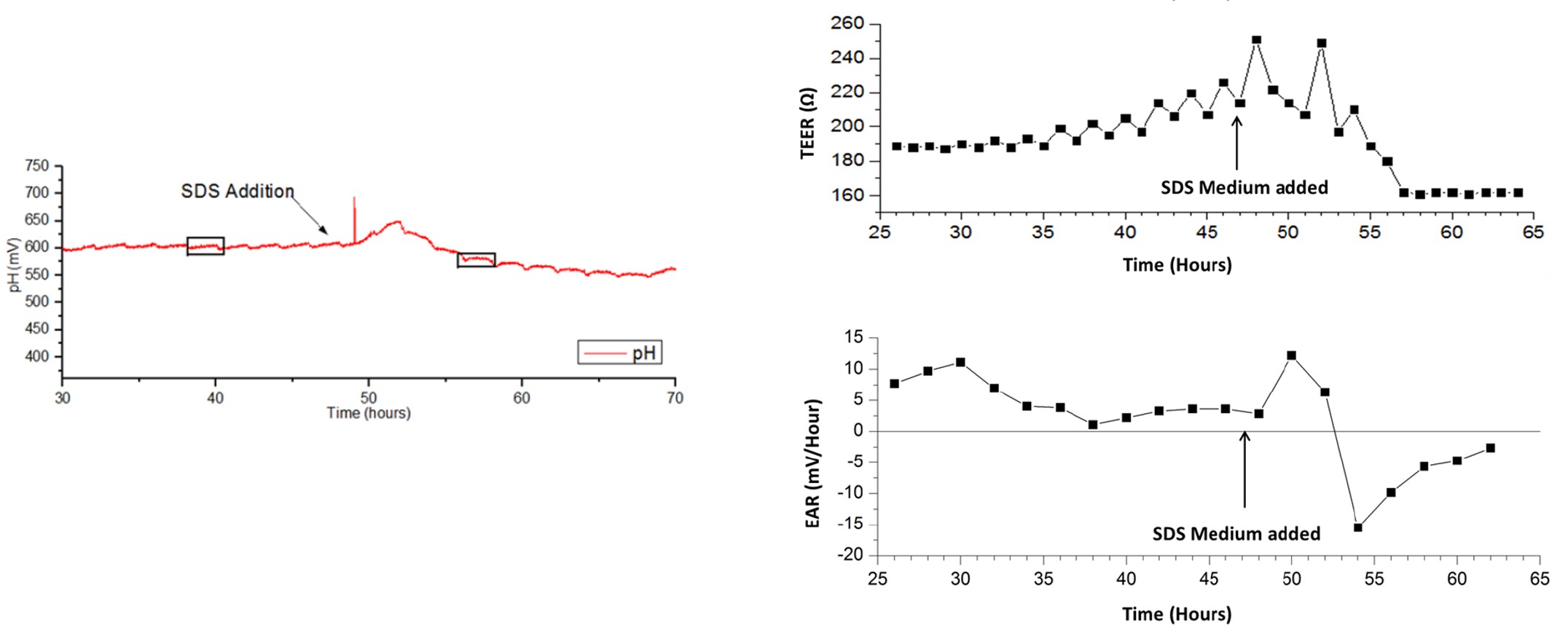
6. 气液界面培养小肠类器官,并监测类器官的跨膜电阻值
Tissue-on-a-Chip, Frontiers in Bioengineering and Biotechnology, August 2020
-
药物毒性的研究之中,重要的一点就是要肠道的吸收。临床前体内评估通常依靠小鼠或大鼠模型。然而动物模型不能完全准确地预测药物对于人体各个方面的效应。从结肠(大肠)癌中提取的Caco-2细胞广泛应用于体外药物吸收和毒性评估的。但是,细胞系和小肠组织的相关性有限,目前只能预测跨细胞(细胞内途径)渗透过程。此外,贴壁单层Caco-2缺乏细胞-细胞和细胞-细胞外基质的相互作用,不能模拟人小肠的多层复杂结构。
-
为了克服这种生理相关性的不足,科学家开发了新的三维重建人体组织模型,在整合的气液界面(ALI)上培养三维小肠类器官—EpiIntestinal-FT。这个基于人体细胞的3D类器官整合了肠上皮细胞、Paneth细胞、M细胞、簇细胞和肠道干细胞以及人肠道成纤维细胞,可以用来表征肠道功能,包括屏障、代谢、炎症和毒性反应。
-
通过三通道IMOLA分析仪,监测EpiIntestinal-FT的细胞层的跨膜电阻值(impedance,TEER,[Z])。整个测量过程是非侵入性的、实时的,并且周期性自动更新培养基。在电阻值测量中,培养小室的顶部分别注入培养基,PBS和2.0% SDS。该系统在三个通道中都有一个自动的ALI,可以一次在三个芯片上进行平行实验。


7. 长时间培养心脏类器官,并监测类器官的产酸率和跨膜电阻值
Heart on a Chip: Microphysiometric monitoring of cardiomyocytes derived from human induced pluripotent stem cells.
-
微生理测量法是对生命或生物物质的功能和活动以及所涉及的物理和化学现象的测量。它能够实现对活细胞代谢和形态的无标记监测,并在药理学或毒理学等领域开辟新的应用。、
-
我们成功地将该方法扩展到对三维细胞模型(即器官芯片)的监测。为了证明微生理测量法在人类心肌细胞中的适用性,我们通过无标记和非破坏性监测代谢和形态变化进行了 检测。
-
将源自人类诱导多能干细胞(hiPSCs)的 IBMT 心肌细胞在生物芯片上培养 22 至 30 天,然后将生物芯片从维尔茨堡运至慕尼黑并过夜培养,成功地通过光学检查确认了心肌细胞的跳动活动。随后,进行了 检测,以确定从含血清培养基向无血清化学定义培养基转变后的情况。
-
在 24 小时的检测过程中,实时监测了细胞的细胞外酸化和阻抗变化。

8. 多个类器官的长时间串联共培养
Label-free monitoring of whole cell vitality, 35th Annual International Conference of the IEEE EMBS, Osaka, Japan, 3 – 7 July, 2013, 1607-1610
-
IMOLA是一种用于在线分析活细胞组织类器官的系统解决方案。它利用生物芯片BioChip-C直接监测活细胞组织类器官的代谢学参数和活细胞形态变化(生物阻抗)。样本无需标记,可以并行或串联,连续且实时进行数周监测。使用活细胞/组织/类器官作为样本在体外研究药物的毒性,以评估药物对活细胞/组织/类器官的作用和效应。
-
该系统优势包括:多参数(代谢学和形态学测定)、长期连续、无需标记、高灵敏度以及优化的灌流系统(可进行实时连续换液,加药,去药等过程)。 该系统的模块化结构设计,可通过灌流系统实现多器的官串联培养监测。模块1培养的是具有代谢活性的细胞类器官(如HepG2三维细胞球)。这些细胞将前体药物转化为活性药物后,被灌流系统传送到敏感反应的效应细胞类器官(模块2)中,实时监测其效果。为了得到更准确的结果,必须抑制各个传感器单元之间的电流干扰,减少试验的干扰,将外界的影响降到最低。
-
为确保独立测量所有细胞电信号,我们对细胞呼吸进行了长期监测,并在23小时后向储液瓶中加入了SDS。结果显示模块2中的细胞受到影响的时间比模块1中的细胞晚了20分钟。这是由于泵速以及模块1与模块2之间的连接导致的延迟。该系统的优势在于两种不同细胞或类器官可以完全独立监测,这是混合共培养无法实现的。若模块1中细胞代谢活性非常低,则可能无法在介质通过时积累足够的活性物质。对于这种特殊情况,可以使用由蠕动泵来控制和调节液体流动的速度和体积。


发表的文献:
Parallel Impedivity Measurements for Enzyme Activity Quantification in Microtiter Plates for Calcite Precipitation Research
2025-12-09
Lapierre, F., Wiest, J., Güner, J., Huber, R.: Parallel Impedivity Measurements for Enzyme Activity Quantification in Microtiter Plates for Calcite Precipitation Research, 2025 47th Annual International Conference of the IEEE Engineering in Medicine and Biology Society (EMBC), Copenhagen, Denmark, 2025, pp. 1-5, doi: 10.1109/EMBC58623.2025.11253444
Fetal bovine serum: how to leave it behind in the pursuit of more reliable science
2025-08-11
Weber T., Malakpour-Permlid A., Chary A., D’Alessandro V., Haut L., Seufert S., Wenzel E.V., Hickman J., Bieback K., Wiest J., Dirks W.G., Coecke S. and Oredsson S.: Fetal bovine serum: how to leave it behind in the pursuit of more reliable science, Front. Toxicol., 2025, 7:1612903, doi: 10.3389/ftox.2025.1612903
cellasys #8: A Microphysiometric Assay for Real-Time Cell Analysis within 24 Hours
2023-12-03
Eggert, S., Stetsenko, S., Wiest, J.: cellasys #8: A Microphysiometric Assay for Real-Time Cell Analysis within 24 Hours. In: Friedrich, O., Gilbert, D.F. (eds) Cell Viability Assays. Methods in Molecular Biology, vol 2644. Humana, New York, NY, 2023. https://doi.org/10.1007/978-1-0716-3052-5_19
Assaying Proliferation Characteristics of Cells Cultured Under Static Versus Periodic Conditions
2023-11-16
Gilbert, D.F., Friedrich, O., Wiest, J.: Assaying Proliferation Characteristics of Cells Cultured Under Static Versus Periodic Conditions. In: Friedrich, O., Gilbert, D.F. (eds) Cell Viability Assays. Methods in Molecular Biology, vol 2644. Humana, New York, NY, 2023. https://doi.org/10.1007/978-1-0716-3052-5_3
Systems Engineering of Microphysiometry
2022-12-13
Wiest, J.: Systems Engineering of Microphysiometry, Organs-on-a-Chip, 2022, 4, 100016, doi:10.1016/j.ooc.2022.100016
Amperometric microbial biosensor for sugars and sweetener classification using principal component analysis in beverages
2022-11-24
Umar, L., Rosandi, V.A., Setiadi, R.N. et al. Amperometric microbial biosensor for sugars and sweetener classification using principal component analysis in beverages. J Food Sci Technol 60, 382–392 (2023). https://doi.org/10.1007/s13197-022-05625-8
Practical workshop on replacing fetal bovine serum (FBS) in life science research: From theory into practice
2022-10-18
Eggert, S., Wiest, J., Rosolowski, J. and Weber, T. (2022) “Practical workshop on replacing fetal bovine serum (FBS) in life science research: From theory into practice”, ALTEX – Alternatives to animal experimentation, 39(4), pp. 712–713. doi: 10.14573/altex.2207071.
Sensitivity and photoperiodism response of algae-based biosensor using red and blue LED spectrums
2021-03-02
Umar, L., Aswandi, F., Linda, TM., Wati, A., Setiadi, RN.: Sensitivity and photoperiodism response of algae-based biosensor using red and blue LED spectrums, AIP Conf. Proc. 2320, 050016 (2021), https://doi.org/10.1063/5.0037762
Tissue-on-a-Chip: Microphysiometry With Human 3D Models on Transwell Inserts
2020-08-05
Schmidt C, Markus J, Kandarova H and Wiest J (2020) Tissue-on-a-Chip: Microphysiometry With Human 3D Models on Transwell Inserts. Front. Bioeng. Biotechnol. 8:760. doi: 10.3389/fbioe.2020.00760
Fourier Analysis in Microphysiometry
2019-01-28
Wiest, J.: Fourier Analysis in Microphysiometry. In Advances in Medicine and Biology 136, Nova Science Publisher, Inc., 2019, ISBN: 978-1-53613-722-3
Proliferation characteristics of cells cultured under periodic versus static conditions
2018-12-04
Gilbert, D.F., Mofrad, S.A., Friedrich, O., Wiest, J.: Proliferation characteristics of cells cultured under periodic versus static conditions, Cytotechnology, 2018, doi:10.1007/s10616-018-0263-z
Skin-on-a-Chip: Transepithelial Electrical Resistance and Extracellular Acidification Measurements through an Automated Air-Liquid Interface
2018-02-21
Alexander, F., Eggert, S., Wiest, J.: Skin-on-a-chip: Transepithelial electrical resistance and extracellular acidification measurements through an automated air-liquid interface, Genes, 2018, 9/2, 114; doi:10.3390/genes9020114
Microphysiometry
2018-02-06
Brischwein M., Wiest J. (2018) Microphysiometry. In: Bioanalytical Reviews. Springer, Berlin, Heidelberg, https://doi.org/10.1007/11663_2018_2
Fetal bovine serum (FBS): Past – present – future
2018-01-20
van der Valk, J., Bieback, K., Buta, C., Cochrane, B., Dirks, W., Fu, J., Hickman, J., Hohensee, C., Kolar, R., Liebsch, M., Pistollato, F., Schulz, M., Thieme, D., Weber, T., Wiest, J., Winkler, S., Gstraunthaler, G. (2018) Fetal bovine serum (FBS): Past – present – future. ALTEX – Alternatives to animal experimentation. 35, 1, 99-118. DOI:https://doi.org/10.14573/altex.1705101.
A novel lab-on-a-chip platform for spheroid metabolism monitoring
2017-10-17
Alexander F.A., Eggert S., Wiest J. (2018) A novel lab-on-a-chip platform for spheroid metabolism monitoring, Cytotechnology, 70/1, 375-386, https://doi.org/10.1007/s10616-017-0152-x
Biology-inspired microphysiological system approaches to solve the prediction dilemma of substance testing
2017-05-31
Marx, U., Andersson, T., Bahinski, A., Beilmann, M., Beken, S., Cassee, F., Cirit, M., Daneshian, M., Fitzpatrick, S., Frey, O., Gaertner, C., Giese, C., Griffith, L., Hartung, T., Heringa, M., Hoeng, J., de Jong, W., Kojima, H., Kuehnl, J., Leist, M., Luch, A., Maschmeyer, I., Sakharov, D., Sips, A., Steger-Hartmann, T., Tagle, D., Tonevitsky, A., Tralau, T., Tsyb, S., van de Stolpe, A., Vandebriel, R., Vulto, P., Wang, J., Wiest, J., Rodenburg, M. and Roth, A.: Biology-inspired microphysiological system approaches to solve the prediction dilemma of substance testing, ALTEX, 2016, 33/3, 272-321 DOI: 10.14573/altex.1603161
2017 ALTEX award winner
(The members of the ALTEX Board, Editorial Board and Editorial Office elect the winner of the annual award out of all main articles published in the previous year)
Data processing in cellular microphysiometry
2016-11-30
Wiest, J., Namias, A., Pfister, C., Wolf, P., Demmel, F., Brischwein, M.: Data processing in cellular microphysiometry, IEEE Transactions on Biomedical Engineering, 2016, 63/11, 2368-2375, doi:10.1109/TBME.2016.2533868
Cellular Assays with Multiparametric Bioelectronic Sensor Chips
2016-11-30
Wiest, J., Brischwein, M., Ressler, J., Otto, A.M., Grothe, H., Wolf, B.: Cellular Assays with Multiparametric Bioelectronic Sensor Chips, Chimia, 2005, 59/5, 243-246
Cellular signaling: aspects for tumor diagnosis and therapy
2016-11-29
Wolf, B., Brischwein, M., Lob, V., Ressler, J., Wiest, J.: Cellular signaling: aspects for tumor diagnosis and therapy, Biomedizinische Technik, 2007, 52, 164-168, DOI 10.1515/BMT.2007.030
Intelligent Mobile Lab for Metabolics in Environmental Monitoring
2016-11-29
Wiest, J., Stadthagen, T., Schmidhuber, M., Brischwein, M., Ressler, J., Raeder, U., Grothe, H., Melzer, A., Wolf, B.: Intelligent Mobile Lab for Metabolics in Environmental Monitoring, Analytical Letters, 2006, 39, 8, 1759-1771
Label-free monitoring of whole cell vitality
2016-11-29
Weiss, D., Brischwein, M., Grothe, H., Wolf, B., Wiest, J.: Label-free monitoring of whole cell vitality, 35th Annual International Conference of the IEEE EMBS, Osaka, Japan, 3 – 7 July, 2013, 1607-1610
北京佰司特科技有限责任公司 (https://www.best-sciences.com/)
灌流式类器官培养及代谢分析仪—IMOLA;类器官串联芯片系统—HUMIMIC;
蛋白稳定性分析仪—PSA-16;单分子稳定性分析仪(磁镊力谱测量仪)—HiMT;单分子质量光度计—TwoMP;超高速视频级原子力显微镜—HS-AFM;微流控扩散测量仪—Fluidity One-M;
微纳加工点印仪—NLP2000/DPN5000;台式原子力显微镜—ACST-AFM;全自动半导体式细胞计数仪—SOL COUNT;农药残留定量检测仪—BST-100;